TUGAS GURU DATA SEBAGAI SETIAUSAHA JAWATANKUASA PENGURUSAN MAKLUMAT SEKOLAH JPMS 1. Visi Dan Misi Kokurikulum.
JUSTIFIKASI PENUBUHAN JPMS 1.

Tugas jawatankuasa pengurusan maklumat sekolah. 51 menjadi setiausaha kepada Jawatankuasa Pengurusan Maklumat Sekolah JPMS. Majoriti sekolah-sekolah di negeri Sabah belum menubuhkan Jawatankuasa Pengurusan Maklumat Sekolah. Mengemaskini maklumat SPS EMISonline e-Operasi APDM 15.
Kebanyakan Pentadbir Sekolah hanya mengesahkan data sekolah. JAWATANKUASA PENGURUSAN MAKLUMAT KEMENTERIAlJ. Md fakhrul anuar bin abd hamid guru data ajk pn.
1252010 Sebahagian aplikasi-aplikasi yang digunakan di sekolah EMISSMPP Educational Management Information System Sistem Maklumat Pengurusan Pendidikan SMM Sistem Maklumat Murid SSDM Sistem Maklumat Disiplin Sekolah egTUKAR Sistem Maklumat Pertukaran Guru DOSR OPRENSistem Data Operasi Sek Rendah OPMEN Sistem Operasi Sek Menengah SISTEK Sistem Maklumat. PENDID110N MALAYSIA Pengurusan Sumber Manusia Setiausaha Sahagian Sahagian Pengurusan Maklumat Setiausaha Sahagian Sahagian Pembangunan Pelajaran Setiausaha Sahagian Sahagian Perolehan dan Pengurusan. Jawatankuasa Asrama Baiturrahman 2021.
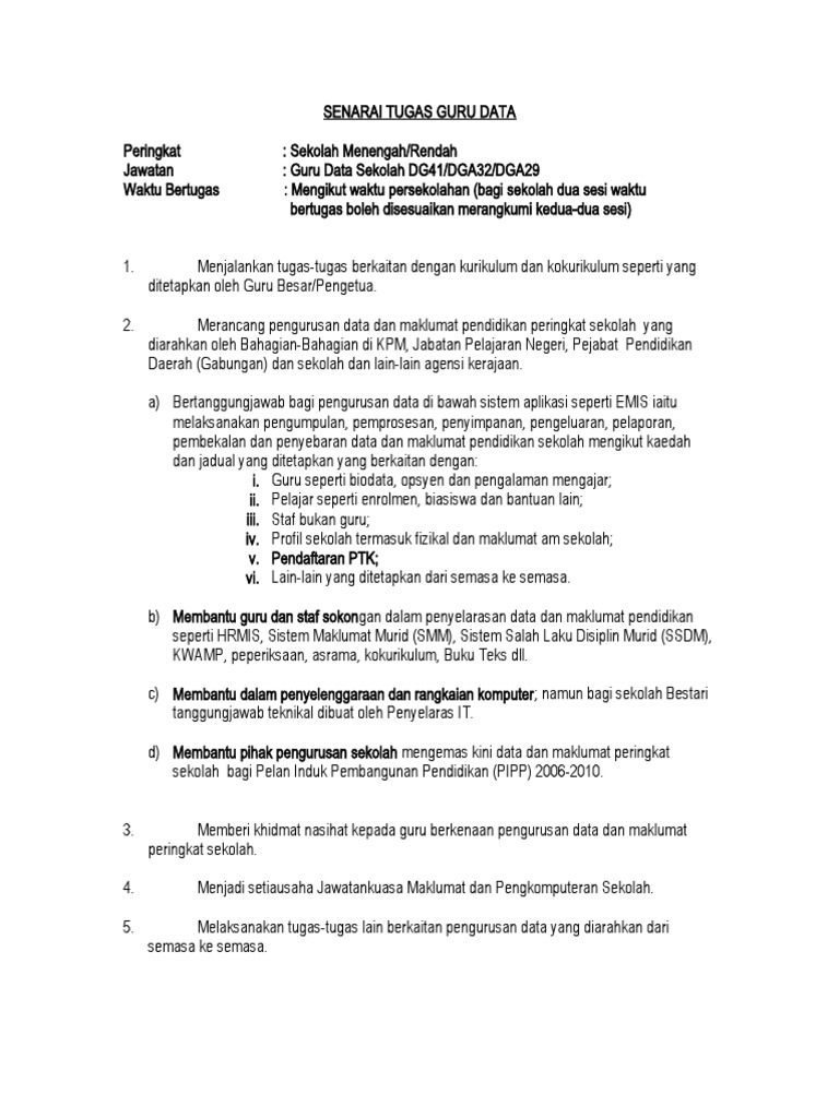
Merancang jadual kerja awal tahun sehingga Majalah Sekolah diterbit dan diedarkan. Senarai Tugas Jawatan guru data di sekolah rendah dan menengah diperuntukkan tujuh jam seminggu untuk pengurusan data sekolah berdasarkan fungsi dan tugas seperti yang berikut. Muka Surat 20 34.
Panduan Tugas Jawatankuasa Majalah Sekolah 1. Dengan ini saya 0 selaku pegawai yang telah dijalankan pada 0 bertempat di 0 dari jam 0800 pagi hingga. Mengemaskini semua maklumat dan data.
Menghantar data kepada pihak-pihak tertentu. Jadual Kelas Tahun 2021. Merancang pembangunan fizikal sekolah termasuk bangunan asrama dewan surau serta kawasan sekolah.
Menjadi badan tertinggi sekolah yang memainkan peranan sebagai tempat rujukan. Akauntabiliti kepada Pegawai Pendidikan Daerah PPD 2. Jawatankuasa PIBG Tahun 20192020.
2532021 Jawatankuasa pengurusan sekolah 1. Dasar-Dasar Unit HEM Sekolah. Menjadi Badan Tertinggi Sekolah yang memainkan peranan sebagai tempat rujukan.
Jawatankuasa tugas-tugas khas 2018 penyeliaan dan pencerapan pengajaran dan pembelajaran pengerusi n. Merancang pembangunan rohani dan sahsiah murid bertugas sebagai jawatankuasa bertindak segera ke atas. Memastikan data dalam bentuk soft copy serta bercetak yang disediakan setelah disemak dan ditentu sah bagi menghasilkan data dan maklumat yang berkualiti sahih dan menepati masa.
Menentukan dasar mengenai percetakan kandungan dan lain-lain aspek Majalah Sekolah. Menyimpan rekod-rekod dan data-data. 422015 Jawatankuasa Pengurusan Sekolah 1.
Syaiful bahri bin ismail su ko-ku en. Jawatankuasa Pengurusan Maklumat Kementerian JPMK PPD dan Sekolah. Mohd hazrin bin mat ali su peperiksaan.
Jadual Waktu Guru Tahun 2021. JAWATANKUASA PENGURUSAN MAKLUMAT SEKOLAH JPMS BIDANG TUGAS. JAWATANKUASA PENGURUSAN MAKLUMAT SEKOLAH JPMS Tanggungjawab Jawatankuasa Penurusan Maklumat Sekolah JPMS 1.
Iii Melaksanakan aktiviti pengumpulan pengemaskinian penyemakan verifikasi penentusahan dan penganalisisan data sekolah iv. Yang menjalankan tugas Diterima oleh maka dengan ini diserahkan kepada pihak sekolah untuk diambil tindakan ke arah penambah- baikan agar pihak sekolah dapat meningkatkan kualiti dalam pengurusan data dan maklumat serta memenuhi keperluan di peringkat stakeholders. KERTAS MAKLUMAT JAWATANKUASA PENGURUSAN MAKLUMAT SEKOLAH JPMS Senario JPMS masa kini 1.
Jawatankuasa Pengurusan Maklumat Sekolah JPMS a Bidang Tugas i Akauntabiliti kepada PengetuaGuru Besar ii Melaksanakan tiga 3 kali mesyuarat setahun Januari Jun Oktober minggu akhir bulan dan kutipan. Halue bin mat tahir pn. Amni raihan binti ahmad nizar su hem en.
Memastikan penyimpanan dan keselamatan data. 52 merancang pengurusan data dan maklumat pendidikan peringkat sekolah yang diarahkan oleh bahagian KPM JPN PPD dan sekolah. Bertindak sebagai Pegawai Perhubungan Maklumat Sekolah pengantara dalam rangkaian maklumat antara sekolah.
Merancang pembangunan rohani dan sahsiah murid bertugas sebagai jawatankuasa bertindak segera ke. 12 Pengurusan Maklumat Panduan Lantikan Guru a Guru Penyelaras ICT GPICT 5 b Guru Data Maklumat GDM 5 c Jawatankuasa Pengurusan ICT dan Maklumat Sekolah 6 d Agenda JPIMS 7 e Senarai Semak Fail Pengurusan SPS 8 f Agihan Telefon YES Altitude 9 13 Pengurusan Teknikal a E-mail 1GOVUC 1011 b Jawatankuasa Pemandu ICT JPICT 12. Menyelaras aktiviti pengumpulan penyemakan pengemaskinian penentusahan dan penganalisisan data termasuk Buku Log SMPPEMIS.
Zaidah binti zainuddin su kurikulum pn. Membentuk biro-biro untuk tugas khas penerbitan Majalah Sekolah. Tiada penekanan untuk melaksanakan JPMS di sekolah-sekolah.
Merancang pembangunan fizikal sekolah termasuk bangunan asrama dewan surau serta kawasan sekolah. JAWATANKUASA PERKEMBANGAN STAF LDP BIDANG TUGAS. 200 jawatankuasa pengurusan.
Menentukan mutu dan bentuk majalah. Buku pengurusan sekolah 2018. Jawatankuasa pengurusan maklumat sekolah jpms pengerusi tn hj alias bin hj samah guru besar naib pengerusi tn hj mohd fadeli bin hj saidin gpk pentadbiran setiausaha en.
Bidang Tugas Flip Ebook Pages 1 27 Anyflip Anyflip
Bidang Tugas Guru Pendidikan Khas
Jawatankuasa Pengurusan Sekolah
Garis Panduan Pengurusan Tingkatan Enam Gppt6 2016 Bab 2 Pengurusan Dan Pentadbiran Bab Person Personalized Items
Carta Organisasi Kelas Peranan Ahli Jawatan Kuasa Guru
Minit Mesyuarat Jpms Bil 1 Flip Ebook Pages 1 5 Anyflip Anyflip
Tanggungjawab Jawatankuasa Pengurusan Maklumat Sekolah
Calameo Senarai Tugas Jawatankuasa Hem
Bidang Tugas Flip Ebook Pages 1 30 Anyflip Anyflip
Tugas Dan Tanggungjawab Jawatankuasa Pusat Sumber
6 Senarai Tugas Gpk Kokurikulum





